Abstracts of the 22
nd
National Congress of Digestive Diseases / Digestive and Liver Disease 48S2 (2016) e67–e231
e69
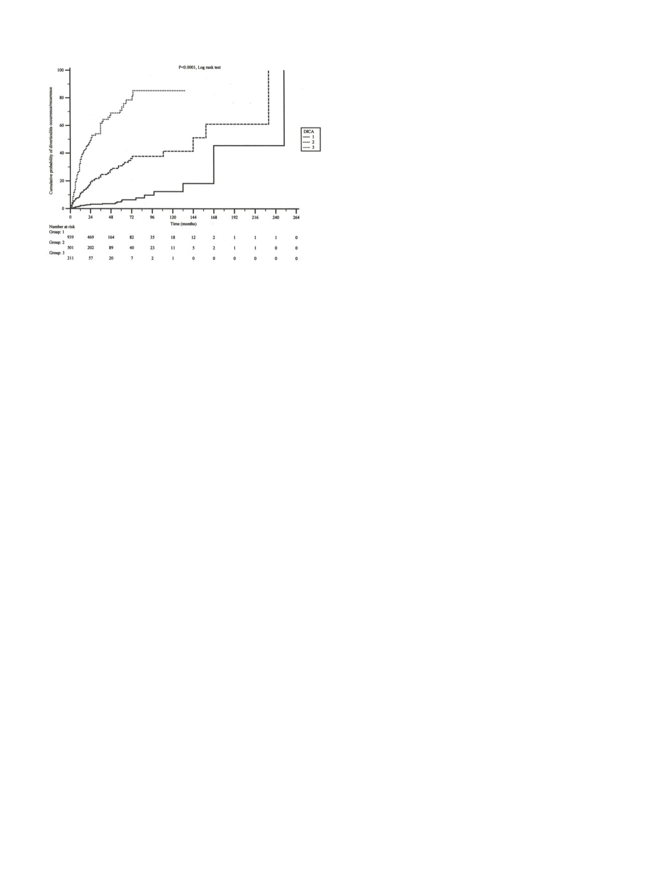
Conclusions:
Data indicate that Mongersen ameliorates chronic
colitis and limits the occurrence of intestinal fibrosis.
PC.01.4
PERIBILIARY GLANDS AS A NICHE OF EXTRA-PANCREATIC
INSULIN-PRODUCING AND GLUCOSE-SENSITIVE CELLS
Carpino G.
1
, Cardinale V.*
2
, Puca R.
2
, Renzi A.
3
, Scafetta G.
2
, Nevi L.
2
,
Berloco P.B.
4
, Reid L.
5
, Maroder M.
2
, Gaudio E.
3
, Alvaro D.
2
1
Department of Movement, Human and Health Sciences, University
of Rome “Foro Italico”, Roma, Italy,
2
Sapienza University of Rome,
Department of Medico-Surgical Sciences and Biotechnologies, Roma,
Italy,
3
Sapienza University of Rome, Department of Anatomy, Histology,
Forensic Medicine and Orthopedics, Roma, Italy,
4
Department of
General Surgery and Organ Transplantation, Roma, Italy,
5
Departments
of Cell and Molecular Physiology, University of North Carolina, Chapel
Hill, NC, United States
Background and aim:
Peribiliary glands contain a niche of
heterogeneous endodermal stem/progenitors cells that can
differentiate, in vitro and in vivo, towards pancreatic islets. Whether
these cells play a role in insulin production in diabetes is unknown.
The aim of this study was to evaluate, in experimental diabetes,
proliferation of peribiliary glands and differentiation of biliary tree
stem/progenitor cells towards insulin-producing cells.
Material and methods:
Diabetes was generated in mice by
intraperitoneal injection of a single dose of 200 mg/kg (N=12) or 120
mg/kg (N=12) of streptozotocin. Liver, pancreas and extrahepatic
biliary treeswere enblocdissectedandexaminedby LightMicroscopy
and Immunohistochemistry, and RT-PCR analysis. Moreover human
biliary tree stem/progenitor cells (hBTSCs) isolated from peribiliary
glands of liver donors (N=5) have been challenged in culture with
high glucose concentration for 14 days and thereafter analyzed by
RT-PCR and immunofluorescence.
Results:
Peribiliary glands proliferated in experimental induced
diabetes. Their proliferation was greatest at the hepato-pancreatic
ampulla and inversely correlated with pancreatic islet area.
Peribiliary glands proliferation was characterized by the expansion
of Sox9-positive stem/progenitor cells that gave rise to insulin-
producing cells. Insulin producing cells were mostly located in
the portion of the biliary tree closest to the duodenum, and their
appearance was associated with the up-regulation of MafA and Gli1
gene expression.
The culturing of hBTSCs under high glucose concentration for 14
days, determined the increase of the gene expression of Ngn3, MafA
and Insulin, and the appearance of islet-like structures composed of
densely packed insulin-positive cells.
Conclusions:
Peribiliary glands and associated stem/progenitor cells
respond to diabetes with proliferation and differentiation towards
insulin-producing cells. Peribiliary gland niche may rescue the
pancreatic islet impairment in diabetes with important implications
for the patho-physiology and complications of this disease.
PC.01.5
A NEW SUB-CLASSIFICATION OF ESOPHAGO-GASTRIC JUNCTION
MORPHOLOGY TYPE I HELPS TO BETTER RECOGNIZE PATIENTS
WITH A POSITIVE IMPEDANCE-PH MONITORING
Tolone S.*
1
, Savarino E.
2
, De Bortoli N.
3
, Furnari M.
4
, Frazzoni M.
5
,
Martinucci I.
3
, Bodini G.
4
, Della Colletta M.
2
, Bartolo O.
2
, Parisi S.
1
,
Bondanese M.
1
, Savarino V.
4
, Docimo L.
1
1
Division of General and Bariatric Surgery, Department of
Surgery, Second University of Naples, Naples, Italy,
2
Division
of Gastroenterology, Department of Surgery, Oncology and
Gastroenterology, University of Padua, Padua, Italy,
3
Division of
Gastroenterology, Department of Internal Medicine, University of
Pisa, Pisa, Italy,
4
Division of Gastroenterology, Department of Internal
Medicine, University of Genoa, Genoa, Italy,
5
Digestive Pathophysiology
Unit and Digestive Endoscopy Unit, Baggiovara Hospital, Modena, Italy
Background and aim:
High-resolution manometry (HRM) provides
information on esophagogastric junction (EGJ) morphology, being
able to distinguish whether the lower esophageal sphincter (LES)
and crural diaphragm (CD) are superimposed or separated. Actually,
three different subtypes can be described by means of HRM, and it
was recently demonstrated that increasing separation between LES
and CD could cause a gradual and significant increase of reflux. Type
I morphology is the group with the lowest incidence of a positive
impedance-pH test. We aimed to verify if a new sub-classification of
the EGJ Type I could better correlate with a positive impedance-pH
test in patients with reflux symptoms.
Material and methods:
Consecutive patients with suspected GERD
were enrolled. All patients underwent HRM and impedance-pH
testing off-therapy. EGJ was classified as: Type I, no separation
between the LES and CD; Type II, minimal separation (>1 and <2
cm); Type III, ≥2 cm separation. Only patients with EGJ Type I were
enrolled in the study. EGJ Type I was further divided into Type IA,
a complete overlap of LES and CD (with a minimum presence of
intra-abdominal LES segment), and Type IB, a minimal separation,
with LES located from the upper border of CD (in correspondence
of pressure inversion point, 0.0 cm) to 1 cm above. We measured
esophageal acid exposure time (AET), number of total reflux
episodes and symptom association analysis by means of impedance
pH monitoring.
Results:
We enrolled 130 consecutive patients and identified 60
(46.2%) patients with Type I EGJ. Overall, Type I subjects showed
a positive MII-pH in 50% of cases, with 25 median number of
reflux episodes, a 1.5% mean AET and a 43.3% of positive symptom
association. Using the sub-classification, we identified 23 (38.3)%
Type IA and 37 (61.7%) Type IB subjects. Type IB had a higher
number of reflux episodes (38 vs. 18, p<0.03), a greater mean AET
(3.2 vs. 0.9, p<0.05) and a greater positive symptom association (54%
vs. 26%, p<0.02) compared to Type IA. Type IB morphology had a
more frequent probability to show a positive MII-pH than Type IA
(62.1% vs. 30%, p<0.001).
Conclusions:
This simple new sub-classification of EGJ Type I can
be useful to better estimate an abnormal impedance-pH testing in
GERD patients and it supports the role of the intra-abdominal LES
segment in preventing reflux.




